Autant pour les composants électroniques, on a un minimum d’informations pour les remplacer avec ce qui est écrit dessus comme avec les résistances, les condensateurs, les transistors, les puces, etc …
Autant pour certaines pièces mécaniques, comme les courroies, cela n’est pas le cas.
On pourrait éventuellement tenter de voir si on peut trouver des informations dans un ancien manuel de service de l’appareil mais le mieux qu’on trouve en général est la référence de la courroie pour la commander chez le fabriquant de l’appareil.
Sauf qu’avec du matériel de quelques dizaines d’années, hormis dans le domaine professionnel, le fabricant ne propose plus de courroie de remplacement, voir le fabricant n’existe plus.
De nos jours, on trouve parfois des revendeurs qui proposent directement la soi-disant courroie de remplacement pour un appareil.
Je dis « soi-disant » car cela m’est déjà arrivé d’avoir une mauvaise courroie alors qu’elle était pourtant vendue comme étant pour l’appareil indiqué.
Comme par exemple quand j’ai voulu remplacer la courroie de mon projecteur Super8 :
- L’ancienne courroie :
Mais ils gardent en général jalousement leurs caractéristiques. C’est à dire toutes les informations sur les dimensions d’une courroie.
Bon, ça peut se comprendre, ça reste leur gagne-pain.
Passer par un vendeur comme cela suffit cependant à ceux qui ne veulent pas se casser la tête à chercher la bonne courroie eux-même mais cela reste une solution non pérenne dans l’avenir pour continuer à maintenir en fonctionnement un appareil car qu’est-ce qui nous dit que dans plusieurs années on arrivera encore à trouver la courroie de remplacement qui va bien rien qu’avec le nom de l’appareil.
Tandis que si on a les caractéristiques exactes de la courroie qu’il faut, il suffit juste de trouver un vendeur qui liste des corroies avec toutes leurs caractéristiques et de choisir celle qui nous intéresse en fonction des dites caractéristiques. Et ça, ça existe bien et il y en aura encore pendant longtemps ! Enfin, je l’espère.
Et même dans certains cas, il est également possible avec ces informations de se les fabriquer soit-même !
D’ailleurs, chercher la bonne courroie à partir de ses dimensions plutôt qu’avec le nom de l’appareil revient parfois moins cher.
Comme par exemple lorsque j’ai voulu remplacer la courroie d’un Walkman :
Dans les deux cas, c’est la même courroie.
Mais pour avoir ces caractéristiques, il faut déjà les trouver !
Sauf que, comme écrit plus haut, il s’agit d’une information rarement donnée …
Donc pour pouvoir faire revivre mes appareils et faire de faire en sorte de toujours les maintenir en vie plus tard, il a fallu que je trouve par moi-même les informations pour la ou les courroies qu’il me fallait.
Au début, j’utilisais tout bêtement un assortiment de courroies carrées que j’avais trouvé sur eBay il y a quelques années.
En testant différentes valeurs, j’arriverais à trouver une courroie qui allait et avec les informations de longueur ou de diamètre et de section, j’avais déjà une première idée de la bonne courroie.
Puis, s’il fallait une section (largeur de la coupe) plus grande ou d’un type différent (plate ou ronde), là j’en commandais une.
Ça, c’était la technique « on teste, on va voir ce que ça donne ».
Puis au fil du temps, j’ai fini par me développer une technique personnelle pour déterminer une courroie à partir d’outils simples et d’indices que j’ai à ma disposition.
J’ai donc décidé de décrire ici comment je procède personnellement pour trouver l’éventuelle bonne courroie de remplacement pour un appareil.
Maintenant que la technique est bien rodée et a fait ses preuves, je me dit qu’il serait éventuellement utile de la partager car elle pourrait servir à d’autres.
D’un point de vue général, voici les types d’informations à identifier :
- Le type : carrée, ronde ou plate (nommée plus rarement rectangulaire).
- La longueur (ou périmètre) et le diamètre :
Longueur/périmètre en bleu sur l’image.
Diamètre en rouge. Cette valeur est retrouvée à partir de la longueur divisée par π (Pi = 3,1415...).
Certains sites listent leur courroies par diamètre au lieu de par longueur.
- La largeur (appelée aussi section) :
C’est la mesure de la coupe de la courroie.
Pour une courroie ronde, on parlera de diamètre de section.
Pour une courroie plate, il faut rajouter aussi l’épaisseur car la forme de la section est rectangulaire.
(Oui je me suis fait chier à faire des modélisations 3D sur Fusion 360 et rajouter des traits sur Paint juste pour bien visualiser chaque information à identifier)
Maintenant qu’on sait ce qu’il y a à identifier, voici comment je procède pour obtenir ces informations :
Étape 1 : Les vieux restes d’anciennes courroies
Premièrement, est-ce qu’une ancienne courroie est toujours là ? Même détendue ou en petits morceaux solides ?
Si oui, il ne faut pas jeter tout ça de suite. Cela pourra servir pour la suite. Il faut tout garder tant qu’une nouvelle courroie parfaite n’a pas été trouvée.
S’il ne reste rien ou que l’ancienne courroie a fondue, c’est dommage mais ce n’est pas grave.
Pour retirer de la courroie fondue, de l’alcool isopropylique, des cotons tiges et de la patience, ça marche très bien !
Étape 2 : Déterminer le type de courroie
S’il y a des restes de courroie, on peut tout de suite voir si c’est une courroie carrée, ronde ou plate.
Mais s’il ne reste rien, il faut regarder par où doit passer la courroie.
Avec une rainure triangulaire, c’est pour une courroie carrée.
Mais parfois, cela peut-être pour une courroie ronde si elle doit avoir une largeur de section un peu grosse.
A présent, je n’ai jamais croisé de courroies ronde avec une petite largeur de section.
Si c’est plat ou avec une surface un peu bombée un peu large avec des rebords, c’est pour une courroie plate.
Dans un premier temps, pour déterminer la longueur, j’utilise de la ficelle de supermarché.
Mettre la ficelle comme ceci à l'emplacement de l’ancienne courroie :
La mécanique doit même arriver à tourner un peu avec cette courroie de fortune !
...
--:-- / --:--
- Télécharger ...
- Qualité-
Sans défaire le nœud, couper la ficelle et la mesurer.
Sur la photo, il est mesuré à 150 mm.On obtient ainsi la longueur que parcourra la future courroie une fois en place… Mais ce n’est pas la véritable longueur de la future courroie !
En effet, cette mesure correspondant à une courroie en place et tendue. Il faut donc réduire la valeur mesurée pour avoir une courroie qui soit suffisamment tendue.
D’expérience, il faut retirer entre 10 et 15 % à la longueur de la ficelle pour obtenir la bonne longueur de courroie.
Je pars généralement sur 12 % puis je fais légèrement varier suivant les courroies que j’arrive à trouver.
Puis pour déterminer le diamètre, il suffit de diviser cette valeur par π (Pi = 3,1415…).
Donc à partir de la photo plus haut, cela donne 132 mm de longueur de courroie (88 % de 150mm), soit environ 42 mm de diamètre.
S’il reste une ancienne courroie ou des morceaux :
- Pour les courroies carrées ou rondes, mesurer le largeur avec un pied à coulisse :
- Pour les courroies plates, mesurer la largeur et l’épaisseur avec le même outil :
Par contre, s’il ne reste rien, tenter de mesurer par où passe la courroie :
- Pour les courroies carrées, il y a deux méthodes possibles :
La première, mesurer comme ceci pour obtenir directement la largeur de section :
Pour retrouver la longueur d’un côté de la section à partir de la diagonale, on peut utiliser le théorème de Pythagore vu qu’avec la forme de la courroie, on se retrouve dans une configuration d’un triangle rectangle. (Oui ce machin appris au collège sert enfin à quelque chose !)
Ici une vue découpée d’une rainure et d’une courroie avec en gris la rainure où doit passer la courroie et en noir la courroie de section carrée.
Le trait bleu sert à visualiser la diagonale du carré.
Donc avec la diagonale et une moitié de la section carrée, on peut visualiser un triangle rectangle.
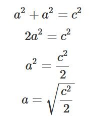
Petit rappel du théorème de Pythagore :
« Dans un triangle rectangle, le carré (dans le sens la valeur multipliée par elle-même et non la forme géométrique) de la longueur de l’hypoténuse est égale à la somme des carré des longueurs des deux autres côtés. »
Avec « a » et « b » les mesures des deux cotés du triangle et « c » la mesure de l’hypoténuse (la diagonale dans notre cas).
Donc la formule peut-être réécrite ainsi :
Avec « a » deux fois car il y a deux cotés de même distance.
La valeur « c », on l’a connaît, c’est la taille de la rainure.
Donc pour obtenir « a » tout seul, il faut faire un peut d’algèbre.
(Oui j’ai fait péter le LaTeX juste pour me la péter avec mes formules ! :D)
Donc avec une mesure de rainure de 2,8 mm de la photo plus haut, on obtient une largeur de courroie carrée d’environ 2 mm.
Mais cette valeur est la largeur maximale pour la courroie carrée. Il faudra donc en trouve une légèrement plus petite.
Je réduit généralement cette valeur de 20% lorsque je choisi une courroie.
- Pour les courroies rondes, mesurer la largeur de la rainure où doit passer la courroie ce qui donne exactement la largeur de courroie à prendre.
- Pour les courroies plates, la mesure donne la largeur maximale à prendre. Il faudra donc trouver une largeur de courroie légèrement inférieure que le passage de courroie. Si non, la nouvelle courroie risque de sauter lors son utilisation en fonctionnement.
Avec toutes informations nécessaires, il est désormais possible de trouver une courroie de remplacement.
Personnellement, je commande chez WebSpareParts. Je trouve qu’il y a suffisamment de choix bien répertorié pour trouver son bonheur.
Truc utile : Classer les courroies proposés par ordre alphabétique permet de les classer par taille.
Voici ce que ça donné pour la courroie mesurée à l’étape 3 :
Au final, j’ai pris une courroie de 131mm (si on prend à plus ou moins 2mm c’est bon) et elle fonctionne très bien !
Et c’est ainsi que j’ai pu trouver toutes les courroies pour remettre en état un magnétoscope Akai VT-100s.
Cette technique personnelle n’est bien sûr pas parfaite. Il arrive parfois qu’il y ait besoin de corriger certaines dimensions, notamment à cause de la tension de courroie nécessaire, puis de commander une nouvelle courroie.
Mais quand on n’a aucune information, cela pose une bonne base de recherche pour trouver la courroie qui va bien. :)











Je viens de parcourir votre article ultra bien vulgarisé, documenté et imagé! Je n'ai pas encore calculer ce qu'il me fallait mais je souhaitais savoir comment faire une fois que je serais confronter aux remplacement des courroies.
Comme vous je n'ai pas réussi à trouver les caractéristiques des courroies nécessaire (walkman, projecteur super et 16mm).
Encore grand merci pour la patience et rigueur apporté à cet article, félicitation!